Project
High-throughput design of doped all-d-metal Heusler compounds for transverse thermoelectric applications
All-d Heuslers are a novel category of compounds that combine versatile functionalities, such as caloric responses and spintronics, with enhanced mechanical properties. Chemical doping is an efficient method to optimize the physical properties of Heusler compounds, particularly their anomalous transport properties, including anomalous Hall conductivity and anomalous Nernst conductivity. The correlations between these transport properties and the electronic structure will be thoroughly investigated, providing practical guidance for tailoring anomalous Hall conductivity and anomalous Nernst conductivity. through chemical doping for transverse thermoelectric applications. we perform HTP calculations on the anomalous Hall and anomalous Nernst conductivities in magnetic doped all-d metal heusler alloys.
Project Details
Project term
January 1, 2025–December 30, 2025
Affiliations
TU Darmstadt
Institute
Theory of Magnetic Materials
Principal Investigator
Methods
The final goal of our project is to compute AHC and ANC. Our first principles calculations are going to be done using VASP, and we will use Wannierberri to calculate the topological transport properties. To characterized the topological transport properties of all-d doped Heusler compounds, we implemented a poor-man’s algorithm interfaced with VASP and the standard Wannier90 packages, so that the MLWFs could be constructed in an automated way. Generally, the projection orbitals and the energy windows (for both disentanglement and wannierization) are the key inputs to construct MLWFs. The scheme was followed to project the obtained DFT Bloch wave functions onto maximally localised MLWF, illustrated in Fig.4. The generalised gradient approximation (GGA) with the Perdew–Burke–Ernzerhof (PBE) parametrization for the exchange correlation energy functional is used.
Results
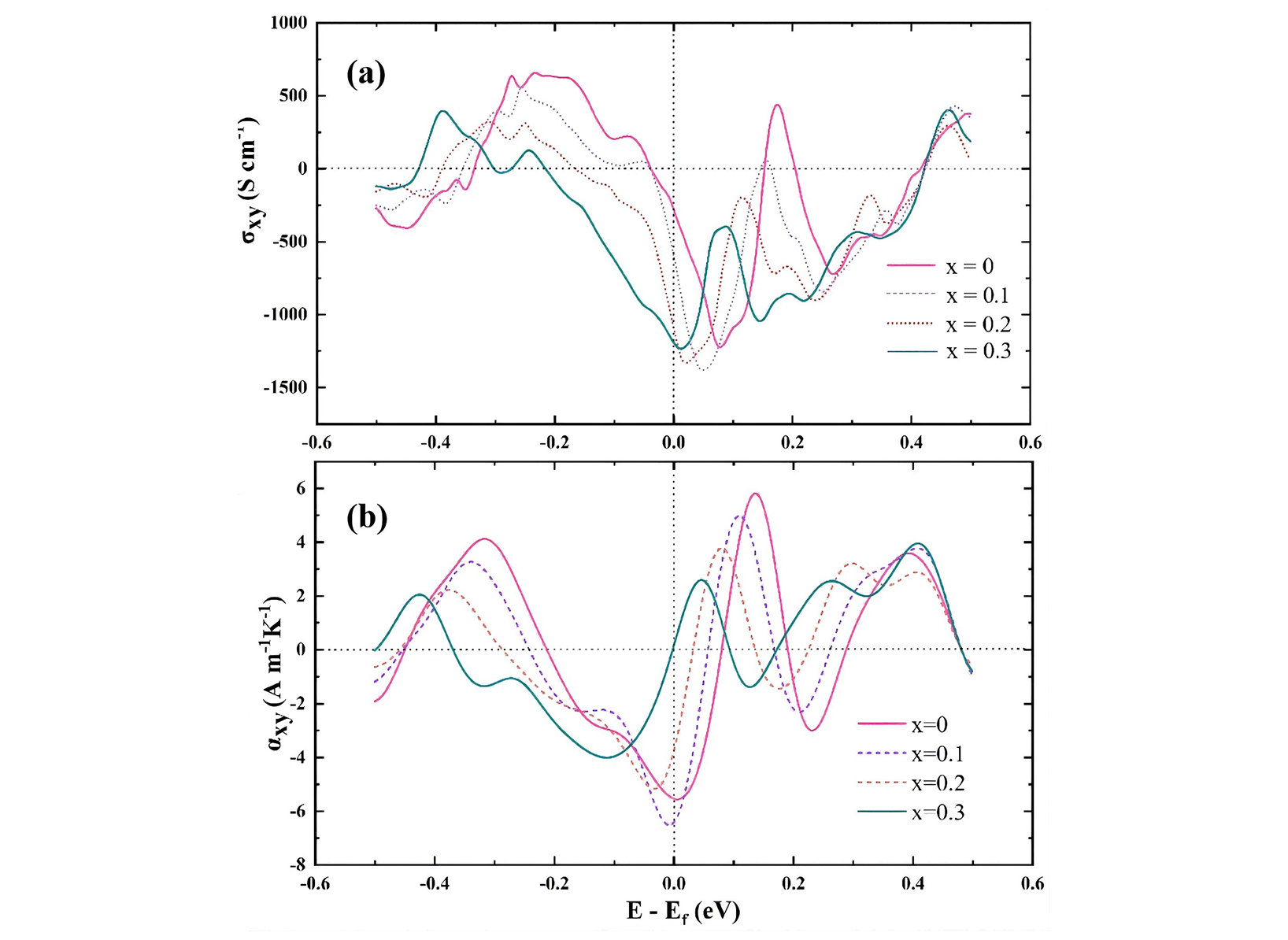
Figure (a) and (b) present the energy dependence of AHC and ANC within Pt2Mn1-xFexRu, with x ranging from 0.0 to 0.3 in increments of 0.1. In Fig. 2(a), a distinct feature of Fe doping is observed: the peak value of Pt2MnRu, initially near 0.1 eV, gradually shifts to higher energy with increasing x. This shift is accompanied by the emergence of a negative slope around the Fermi energy as x increases. Eventually, in Pt2Mn0.7Fe0.3Ru, a substantial peak value of −1150 S cm-1 is achieved at 0.1 eV above the Fermi energy, which is five times greater than the AHC in Pt2MnRu. In contrast, when we can see in Fig. 2(b), the ANC of stoichiometric mother compound is 5 A m − 1K − 1 at fermi energy, in Pt2Mn0.9Fe0.1Ru,it get a giant ANC of 6.34 A m−1K−1 at 300 K. Through a detailed analysis of the AHC and ANC value, we revealed that the chemical doping leads to a huge enhancement above the Fermi energy. Our work provides valuable insights into optimizing transport properties through chemical doping, thereby paving the way for the discovery of new high-performance doped Heusler compounds.
Discussion
In recent years, topological phenomena driven by the nontrivial geometric phase and topological materials have attracted significant attention; they are especially promising for sophisticated electronic and spintronic applications. In particular, for magnetic materials with broken time-reversal symmetry, anomalous Hall conductivity (AHC) and anomalous Nernst conductivity (ANC) are the most representative linear response transport properties of the topological origin, making such materials applicable as field sensors, memory devices, thermoelectric power generators and heat-flux sensors. AHC describes the generation of a transverse voltage by an applied longitudinal current, whereas finite ANC emerges under a temperature gradient instead of a current. For instance, sufficiently large ANC can be applied to design transverse thermoelectric devices, thus it is interesting to screen for more candidates exhibiting large AHC and ANC.
Additional Project Information
DFG classification: 307-02 Theoretical Condensed Matter Physics
Software: VASP, Wannier90, Wannierberri
Cluster: CLAIX
Energy-dependent (a) anomalous hall conductivity and (b) anomalous nernst conductivity of Pt2Mn1-xFexRu with x = 0, 0.1, 0.2, 0.3, respectively